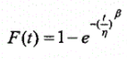
各位好,请教一下,威布尔失效概率公式:
,有哪位大神知道是怎么推导来的吗?式子中的可靠度是怎么推导出来的也可以?非常感谢!
威布尔失效概率推导请教
欢迎转载,转载附上中国可靠性网文章原文链接即可!
来源:中国可靠性网 原文链接:https://bbs.kekaoxing.com/94232.html
新旧论坛贴子链接转换方式 - 可靠性工具软件V1.0免费下载
来源:中国可靠性网 原文链接:https://bbs.kekaoxing.com/94232.html
新旧论坛贴子链接转换方式 - 可靠性工具软件V1.0免费下载
请登录之后再进行评论
登录





![[ 可靠性小工具 ] 目录及演示动图 (不定期更新)](https://bbs.kekaoxing.com/wp-content/uploads/user_files/122191/bbs/28829701_1764117244.jpg?x-oss-process=style/WaterMake)









上述公式源自威布尔的文章:
Weibull, W., A statistical theory of the strength of materials, Proceedings of the Royal Swedish lnstitute for Engineering Research, No. 151, Stockholm. 1939.
原文见如下链接:https://www.docin.com/p-358937651.html
可以直接看该论文的最后一页,结论部分。截图如下:
供参考!