作者:陈昭宪
来自:中国期刊网
目前用来评估可靠性增长的数学模型很多,但在国际国内标准中推荐的评估方法主要是杜安法和AMSAA法。杜安法是J. T. Duane于1962年提出的,它能以图示的方式给出所度量的可靠性参数发生的变化,也能得出可靠性参数的数字估计。AMSAA方法是美国陆军器材设备分析机构提出的,它属于一种解析模型,它可以通过试验数据对产品的MTBF或故障强度入的当前值和预计值求出区间估计,这种模型既可以用于连续型(以时间计)的可靠性系统,也可用于离散型(以周期数、英里数计)的可靠性系统、单系统或多重系统,以及那些时间截尾或失效截尾的试验。
若令X=ln t, A=ln a, y=ln (N (t)/t),则由方程式y=A-mX可见,m为直线的斜率,A=ln a为直线的截距。在增长试验的实践中,通常称m为形状参数或增长率,称a为尺度参数。
1、杜安曲线的绘制
在绘制杜安曲线时,为了观察上的方便,通常采用的数字表达式为:
ln [t/N (t)]=m ln t一ln a
根据增长试验的数据,绘制杜安曲线的步骤如下:
a、在试验的进程中,记录所有受试设备的累积试验时间t及累积故障数N (t);
b、对选定的ti值,计算相应的ti/N (ti);
c、将各个点(ti, ti/N (ti))标在双对数坐标纸上;
d、若试验点能拟合成一条直线,则说明符合杜安模型的增长描述。绘制直线时对接近试验结束的诸点,应给予充分的重视,因为这些点更能体现受试设备的可靠性水平;
e、当t值超出了双对数纸的范围时,应对t进行数据变换,令t’=t/d,则可以采用(t’, t’/N(t))绘制出杜安曲线,形式为:
ln (t’/N (t))=mln t’一ln a
2、增长参数的估计
a、形状参数(增长率)m可由直线的斜率求得;
b.尺度参数a的估计。杜安模型可表达为 [t/N (t)]=tm/a,所以在t=1时,有a= [t/N (t)]-1。也就是说,尺度参数a为(t=1时)杜安曲线纵坐标值的倒数。
若对t进行了变换t=t’d,则由a= (t’d)m/[t’d/N (t)]可以得到在t’=1时a的估计值为:
a=[ t’/N (t)]-1 dm-1
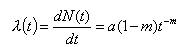
3、产品可靠性的当前值及预计值
由杜安模型可知,产品的累积失效数为N (t) =at1-m,对它求导数便可得到其当前故障率:
![]()
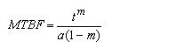
故其当前的MTBF为:
![]()
如果杜安模型是适用的,且增长试验的条件保持不变,则就可以按上述式子来预计产品在今后某时刻的故障强度入(t)及平均无故障工作时间MTBF o#p#分页标题#e#4、平均故障率曲线的绘制
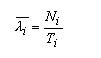
杜安曲线有一个缺点,就是最靠分析点的数据在将其所有前面的数据加以综合时有被埋没的趋势。绘制选定区间的平均故障率曲线则可以排除这一问题。平均故障率曲线的绘制方法,是将试验结果分成若干个区间,区间数目小到能够反映出故障率的趋势,而区间数目多到能足以使数据平滑,每个区间的故障数一般不少于3个。按下式计算各区间上的平均故障率。
![]()
式中, 、Ni和Ti分别为第i个区间上的平均故障率、故障数和长度。计算出又后,在相应的区间内,把平均故障率绘成一条水平线。5、杜安模型应用例
对某系统进行增长试验,累计工作时间达到1000h时停止试验,在选定的各试验阶段中,累积故障数及相应的t/N (t)值见表33.1。由于累积试验时间太大,做如下变换:取d=100。则表33.1变为表33-2.
![]()
将表2中的点((t’, t’/N (t) )绘制在双对数坐标纸上,并作出杜安曲线,见图33. 1由此图得
a的估计值为:
因此,可靠性的当前值为:
![]()
若假定杜安模型是适用的,且所做的努力程度保持不变时,则t = 2000h的预测MTBF可估算为![]()
将上面的试验结果分成5个区间,并计算出每个区间的平均故障率,见表33. 3![]()
从示例中可以看出,杜安方法很好地描述了所观察的增长类型,而平均故障率曲线法则能直观地反映可靠性增长的趋势。
























请登录之后再进行评论