
工程材料在使用时,一定要考虑材料在相应工况环境下的耐蚀能力。也就是说,材料在此环境下是否会发生严重的腐蚀,从而导致工程结构的失效。因此,如何评价在工况环境下,材料表面腐蚀的形态、腐蚀的速度就显得非常具有现实的工程意义。概括起来,工程材料的耐腐蚀性能的评价方法可以分为三大类:重量法、表面观察法和电化学测试法。
1 重量法
重量法是材料耐蚀能力的研究中最为基本,同时也是最为有效可信的定量评价方法。尽管重量法具有无法研究材料腐蚀机理的缺点,但是通过测量材料在腐蚀前后重量的变化,可以较为准确、可信的表征材料的耐蚀性能。也正因为如此,它一直在腐蚀研究中广泛使用,是许多电化学的、物理的、化学的现代分析评价方法鉴定比较的基础。
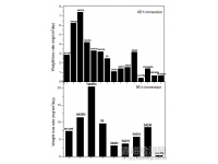
重量法分为增重法和失重法两种,他们都是以试样腐蚀前后的重量差来表征腐蚀速度的。前者是在腐蚀试验后连同全部腐蚀产物一起称重试样,后者则是清除全部腐蚀产物后称重试样。当采用重量法评价工程材料的耐蚀能力时,应当考虑腐蚀产物在腐蚀过程中是否容易脱落、腐蚀产物的厚度及致密性等因素后,在决定选取哪种方法对材料的耐蚀性能进行表征。对于材料的腐蚀产物疏松、容易脱落且易于清除的情况,通常可以考虑采用失重法。例如,通过盐雾试验评价不同镁合金的耐蚀性能时,就通常采用失重法, 图1。
图1 失重法测试镁合金腐蚀速度
而对于材料的腐蚀产物致密、附着力好且难于清除的情况,例如材料的高温腐蚀,通常可以考虑采用增重法图2。
为了使各次不同实验及不同种类材料的数据能够互相比较,必须采用电位面积上的重量变化为表示单位,及平均腐蚀速度,如g.m-2h-1。根据金属材料的密度又可以把它换算成单位时间内的平均腐蚀深度,如m/a。这两类的速度之间的换算公式为:
式中 A-按重量计算的腐蚀速度,g.m-2h-1;B-按深度计算的腐蚀速度,mm/a;ρ-金属材料密度, g.cm-3。
从腐蚀实验前后的试样重量变化计算腐蚀速度V(mm/a),公式为:
式中 ΔW-试样失重,g;ρ-金属材料密度, g.cm-3;A-试样面积, cm2;t-试验周期, h。
失重法的关键操作之一就是完全清除腐蚀产物,而又不损伤基体金属。常用工程材料去处表面腐蚀产物的标准方法如表所示。采用失重法对材料进行腐蚀性能评价时,由于不同的研究者会采用不同的试样尺寸、腐蚀介质以及试验温度,导致所获得的数据很难具有可比性。因此,为了解决这个问题,人们规范了一种标准的腐蚀试验方法—盐雾腐蚀试验。目前,工业界普遍通过盐雾试验并结合失重测试来表征材料的耐腐蚀性能。根据ASTMB117的要求,试样以15-30度的倾角放置,采用5%的NaCl溶液进行雾化喷雾,试验温度35℃。盐雾实验要求盐雾箱内的容积要足够大,不得将盐雾直接喷射到实验的表面。
#p#分页标题#e#2 表面观察法
2.1 宏观观察
就是对材料在腐蚀前后及去除腐蚀产物前后的形态做肉眼分析,还应该注意腐蚀产物的形态和分布,以及他们的厚度、颜色、致密度和附着性;同时还应该注意腐蚀介质中的变化,包括溶液的颜色,腐蚀产物在溶液中的形态、颜色、类型和数量等。虽然这种观察是很粗糙的,但任何精细的服饰研究都辅以这种方法。
2.2 显微观测
就是对受腐蚀的试样进行金相检查或断口分析,或者用扫描电镜、透射电镜、电子探针等做微观组织结构和相成分的分析,据此可研究微细的腐蚀特征和腐蚀动力学。一些工程材料中,常见腐蚀形态的显微形貌如图所示。
对受腐蚀的试样进行显微观察时,需要注意的几点是:
第一,在观察表面形貌时,特别是一些局部腐蚀的形貌时,一定要注意腐蚀截面形貌的观察。这是因为局部腐蚀可能在材料表面所造成的腐蚀并不很显著,而在材料的内部发展。不锈钢等材料的点蚀就是一例,图3。
第二,在观察材料的氧化膜截面形貌时,要注意采用扫描电子显微镜的背散射模式进行观察。扫描电镜在腐蚀形貌观察时,通常有两种工作模式,一种是二次电子相模式,一种是背散射模式。二次电子相通过测试二次电子,来获得试样表面的形貌,而背散射模式则可以通过测试背散射电子,获得试样表面元素分布的情况。通过背散射模式观察腐蚀试样氧化膜界面的形貌,可以很容易地分辨出氧化膜内元素的分布,从而判断出氧化膜是单层结构还是多层结构,图4。
第三,当材料表面覆盖着较厚的腐蚀产物时,进行观察腐蚀形貌时一定要注意将取出腐蚀产物前后的形貌进行综合对比,才能获得准确的结论。两种材料在未去除腐蚀产物之前形貌相同,去除腐蚀产物后腐蚀形态可能会大相径庭。例如,316L不锈钢在80℃Na2SO4和NaCl混合溶液中腐蚀4小时后的腐蚀形貌同ZE41镁合金在NaCl溶液中腐蚀12小时的形貌基本相同,腐蚀产物都呈现龟裂状。但是,去除腐蚀产物后发现,二者的腐蚀形态截然不同:316L不锈钢80℃Na2SO4和NaCl混合溶液中发生的是均匀腐蚀图5,而ZE41发生的则是点蚀,图6。
316L不锈钢80℃Na2SO4和NaCl混合溶液浸泡,去除腐蚀产物前后的腐蚀形貌
ZE41镁合金在NaCl溶液浸泡,去除腐蚀产物前后的腐蚀形貌
3 电化学测试法
电化学测试方法是一种能够快速、准确地用于研究材料腐蚀的现代研究方法。由于材料的腐蚀大多数属于电化学腐蚀,因此电化学测试方法在腐蚀中应用的非常广泛。与重量法和表面观察法相比,电化学测试方法不但能够研究材料的腐蚀速度,还能够深入地研究材料的腐蚀机理。#p#分页标题#e#
电化学测试方法经过近50年的发展,按外加信号分类大致可以分为直流测试和交流测试;按体系状态分类可以分为稳态测试和暂态测试。直流测试包括动电位极化曲线、线性极化法、循环极化法、循环伏安法、恒电流/恒电位法、等等;而交流测试则包括阻抗测试和电容测试。对于稳态测试方法,通常包括动电位极化曲线、线性极化法、循环极化法、循环伏安法、电化学阻抗谱;而暂态测试包括恒电流/恒电位法、电流阶跃/电位阶跃法和电化学噪声法。在诸多的电化学测试方法中,动电位极化曲线法和循环极化法是最基本,也是最常用的方法。
根据材料的腐蚀电化学行为,可以将材料分为两大类:活性溶解材料和钝性材料。对于不同种类的材料,在评价其耐蚀性能时要采用不同的标准。对于活性溶解行为的材料(镁合金、碳钢、低合金钢等)来说,仅仅采用腐蚀电位(Ecorr)的高低来评价材料的腐蚀性能是不对的。这种错误的认识来源于仅仅关注了材料腐蚀的热力学趋势,而忽略了材料的腐蚀动力学特征。在评价活性溶解材料的耐蚀能力时,首要的参数是腐蚀电流(icorr),腐蚀电流越小,材料的耐蚀性能越好,这是因为腐蚀电流是由材料的溶解所造成的。AZ91E和MEZ两种镁合金的极化曲线如图7所示,从图中可以看出:尽管MEZ合金的腐蚀电位远远低于AZ91E合金,但是考虑到MEZ合金的腐蚀电流要明显小于AZ91E合金,所以MEZ合金的耐蚀性能应当高于AZ91E合金,这一点从盐雾腐蚀失重和金相观察结果中都得到了证实。
只要当两种材料的腐蚀电流大体相同时,腐蚀电位才是一个需要考虑的参数,腐蚀电位越高,材料的耐蚀性能越好。举一个例子可以有助于更好的理解这句话,图8:当电位为a时,纯镁处在腐蚀电位,纯镁发生腐蚀;而AZ91D镁合金则处在阴极状态,没有发生腐蚀。当电位为b时,纯镁处在阳极电位而发生严重的腐蚀;与之对比,AZ91D镁合金则还处在阴极状态,没有发生腐蚀。当电位为c时,纯镁和AZ91D镁合金都处在阳极电位下,但是AZ91D镁合金的阳极电流则明显小于纯镁,此时AZ91D的腐蚀速度低于纯镁。从上述的三种典型的情况来看,AZ91D合金在各个电位下其溶解电流都小于纯镁,所以可以判断AZ91D合金的耐蚀能力优于纯镁。
综合上面的论述,可以对活性溶解材料耐蚀性能的评价标准做一下总结:
-
首先要看腐蚀电流的大小,腐蚀电流越小,材料的耐蚀性能越好;
-
当材料的腐蚀电流相差不大时,腐蚀电位越高,材料的耐蚀性能越好。
对于钝性材料(铝合金、钛合金、不锈钢、镍合金、锆合金)来说,在评价此类材料的耐蚀性能时,应当评价材料钝化区的性能,而不是去比较材料的腐蚀电流和腐蚀电位。这是因为由于材料能够钝化,所以在工程应用过程中,人们都会将这些材料做钝化处理后才使用。
通过动电位极化曲线可以获得两个表征材料腐蚀性能的参数:击破电位Eb和维钝电流ipass。击破电位越高材料的耐蚀性能越好;维钝电流越低材料的耐蚀性能越好。例如,在0.1M H3BO3+0.025M Na2B4O7溶液中(图 9),纳米孪晶镍与铸态纯镍相比,击破电位升高,维钝电流减小,经过纳米孪晶后,镍的耐蚀能力得到了明显的提高。
再比如,经过载波钝化处理之后,A890双相不锈钢的击破电位变化不大,但是维钝电流却显著下降,这说明载波后的双相不锈钢耐蚀能力明显增强。图10
#p#分页标题#e#图10
在评价工程材料的耐蚀能力时,有这样一种非常困扰的现象是经常遇到的,如图11所示。1Cr17Ni2不锈钢的击破电位低于1Cr12Ni2WMoVNb不锈钢,但是1Cr12Ni2WMoVNb不锈钢的维钝电流却高于1Cr17Ni2不锈钢。根据上面介绍的评价标准,很难判断那种材料的耐蚀性能更好。
因此,需要引入评价钝性材料耐蚀性能的第三个标准,保护电位Ep。保护电位通过测试循环极化曲线获得,用于表征材料在发生点蚀之后的自钝化、自修补能力。按照ASTM循环极化曲线的测试标准,扫描电位从相对开路电位(OCP)-300mV开始,至电流密度达到1mA.cm-2时,开始负方向电位扫描,直至电位达到相对开路电位(OCP)-300mV时结束,扫描速度1mV/s。负方向扫描曲线与阳极极化曲线的交点即为保护电位。1Cr17Ni2不锈钢和1Cr12Ni2WMoVNb不锈钢的循环极化曲线如图12所示,可以发现1Cr17Ni2不锈钢的负方向扫描曲线与阳极极化曲线相交,而1Cr12Ni2WMoVNb不锈钢的负方向扫描曲线则与阴极极化曲线相交,这说明1Cr17Ni2不锈钢具有保护电位,而1Cr12Ni2WMoVNb不锈钢则没有。也就是说, 1Cr17Ni2不锈钢在点蚀发生后,当电位下降时能够修复点蚀蚀孔,使之发生再钝化;而1Cr12Ni2WMoVNb不锈钢发生点蚀以后,点蚀会不断地发展,不能修复。结合循环极化的结果,可以判断:尽管1Cr17Ni2不锈钢的击破电位低于1Cr12Ni2WMoVNb不锈钢,由于1Cr17Ni2不锈钢具有保护电位,1Cr17Ni2不锈钢耐蚀性能优于1Cr12Ni2WMoVNb不锈钢。
总结上面的论述,如何评价钝性材料的耐蚀性能有着三个评价标准:
-
击破电位越高,材料的耐蚀性能越好;
-
维钝电流越小,材料的耐蚀性能越好;
-
保护电位越高,材料的耐蚀性能越好;






























请登录之后再进行评论